|  | 
      
        |  |  
        | 
          
            |  | 
                  
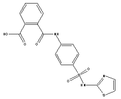
                    | Phthalylsulphathiazole |  
                    |  |  
                    | 
	
		
			| 
					Alias: | 
					(o-carboxybenzoyl)-p-aminophenylsulfonamidothiazole |  
			| 
					CAS NO.: | 
					85-73-4 |  
			| 
					Molecular Formula: | 
					C17H13N3O5S2=403.4 |  
			| 
					Appearance: | 
					white or similar to white crystalline powder, odorless, soluble in dimethylformamide, slightly soluble in ethanol, water and chloroform. M.P. is 198-204℃ |  
			| 
					Structural Formula: |  |  
			| 
					Indications: | 
					used for stomach/intestinal infection, bacillary dysentery, bacteroidal abdominal catarrh etc. |  
			| 
					Quality Standard: | 
					BP2002 |  
			| 
					Acidity: | 
					≤1ml |  
			| 
					Chlorides: | 
					≤0.014% |  
			| 
					Drying Loss: | 
					≤2% |  
			| 
					Residue on Ignition: | 
					≤0.1% |  
			| 
					Heavy Metal: | 
					≤20PPM |  
			| 
					Aromatic amine and related substances: | 
					≤2% |  
			| 
					Assay: | 
					98.5-101.5% |  |  |  |  |  |